Navegación
- Introducción
- Módulos
- Tensión de Rotura y Alargamiento de Rotura
- Resistencia al Desgarre
- Dureza
- Resiliencia
- Deformaciones Permanentes en Compresión
- Deformaciones Permanentes en Tracción
- Resistencia a la Fatiga por Flexión
- Propiedades Dinámicas
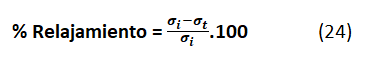
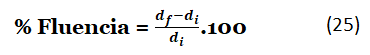
- Relajamiento de Tensiones y Fluencia
- Coeficiente de Poisson
- Regresar a Propriedades Físicas
- Regresar a Propiedades de los Cauchos Vulcanizados
- Regresar a Caucho (Hule)
- Regresar a CTBorracha SP






